首页
公司概况
企业简介
董事长简介
企业资质
企业荣誉
企业文化
公司科研成果
公司宣传片
新闻中心
公司新闻
分公司新闻
行业新闻
员工风采
美文晨读
公益慈善
党支部风采
基本情况
党建工作
学习教育专题
学习心得
党史教育
党支部荣誉
工程案例
招标工程
造价工程
工程咨询
招标信息
招标公告
中标公告
废标公告
政策法规
法律
行政法规
部门规章
规范性文件
地方性文件
分支机构
省级分公司
甘肃分公司
河南分公司
福建分公司
青海分公司
广东分公司
北京分公司
安徽分公司
广西分公司
市级分公司
荆州分公司
竟陵分公司
襄阳分公司
恩施分公司
黄石分公司
宜昌分公司
中南分公司
黄冈分公司
荆门分公司
汉阳分公司
南阳分公司
华中分公司
仙桃分公司
县市级分公司
监利分公司
石首分公司
秭归分公司
沙洋分公司
人才招聘
社会招聘
校园招聘
联系我们
联系方式
客户中心
首页
公司概况
企业简介
中部图组
底部内容
组织架构
董事长简介
历年名衔
企业资质
企业荣誉
企业荣誉
企业文化
公司标识
公司价值观
公司科研成果
公司宣传片
新闻中心
公司新闻
分公司新闻
行业新闻
员工风采
美文晨读
公益慈善
党支部风采
基本情况
党建工作
学习教育专题
党史教育
学习心得
党史教育
党支部荣誉
工程案例
招标工程
招标项目
造价工程
工程咨询
招标信息
招标公告
中标公告
废标公告
政策法规
法律
行政法规
部门规章
规范性文件
地方性文件
分支机构
省级分公司
甘肃分公司
河南分公司
福建分公司
青海分公司
广东分公司
北京分公司
安徽分公司
广西分公司
市级分公司
荆州分公司
竟陵分公司
襄阳分公司
恩施分公司
黄石分公司
宜昌分公司
中南分公司
黄冈分公司
荆门分公司
汉阳分公司
南阳分公司
华中分公司
仙桃分公司
县市级分公司
监利分公司
石首分公司
秭归分公司
沙洋分公司
人才招聘
社会招聘
校园招聘
联系我们
联系方式
客户中心
新闻中心
公司新闻
分公司新闻
行业新闻
员工风采
美文晨读
公益慈善
当前位置:
首页
>
新闻中心
>
行业新闻
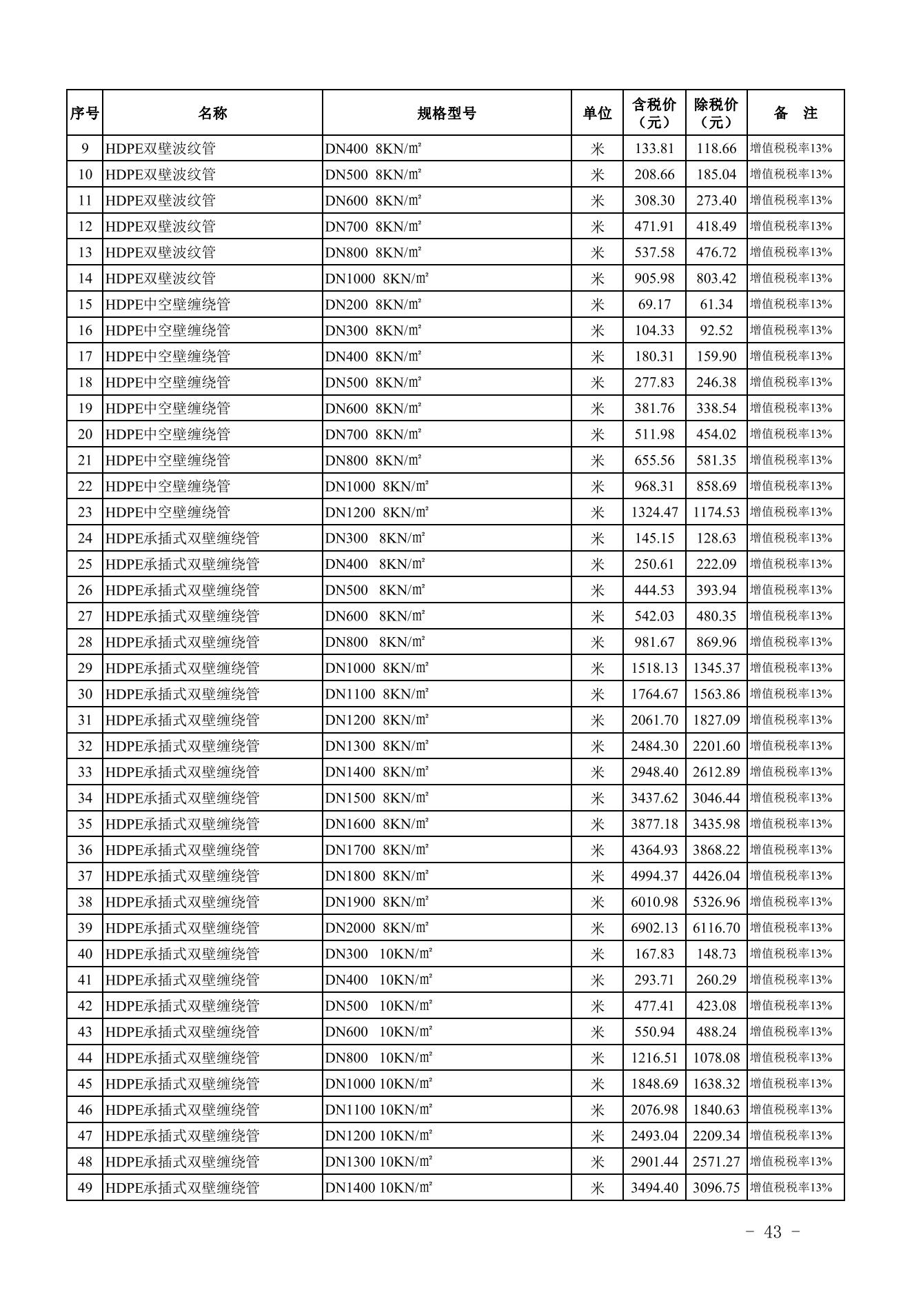
武汉地区建筑安装工程2021年三季度造价指数
2021-11-01
1574
分享:
上一篇:随着国家各部门相关政策的出台和实施,碳中和目标对建筑业的影响在哪些方面?
下一篇:新审计法自2022年1月1日起正式施行(附详细修改内容)